商务部:继续对原产于美国、韩国和欧盟的进口
时间:2025-12-20 10:51 作者:bet356在线官方网站

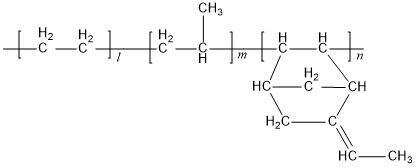
商务部今日发布公告,宣布对原产于美国、韩国和欧盟的进口三元乙丙橡胶所适用的反倾销措施进行期终复审调查。 2020年12月18日,商务部发布2020年第60号公告,决定自2020年12月20日起对原产于美国、韩国和欧盟的进口三元乙丙橡胶征收反倾销税。税率为韩国企业214.9%-222.0%,韩国企业5%-222.0%。欧盟公司为 14.7%-31.7%。实施期限为5年。根据商务部2021年第3号公告,2020年12月31日英国脱欧过渡期结束后,此前对欧盟实施的贸易救济措施继续适用于欧盟和英国,履行期限不变;新的贸易救济调查和审查c在此日期之后欧盟发起的法案将不再将英国视为欧盟成员国。 2025年10月17日,商务部收到中国石油天然气集团公司吉林石化分公司和上海中石化三井弹性体有限公司(以下简称申请人)代表国内三元乙丙橡胶产业提交的反倾销措施终审申请书。申请人主张,如果终止反倾销措施,原产于美国、韩国和欧盟的进口三元乙丙橡胶对华倾销可能继续或再度发生,对中国产业造成的损害可能继续或再度发生。要求商务部对原产于美国、韩国和欧盟的进口三元乙丙橡胶所适用的反倾销措施进行期终复审调查,维持反倾销措施。申请人未申请反倾销期末复审该措施适用于原产于英国的进口三元乙丙橡胶。根据《中华人民共和国反倾销条例》有关规定,商务部对申请人的资格、被调查产品与中国同类产品的有关情况、反倾销措施实施期间被调查产品的进口情况、继续倾销或再度发生的可能性、再销毁的可能性、再销毁的可能性等进行了审查。现有证据表明,申请人符合《中华人民共和国反倾销条例》第十一条、第十三条、第十七条关于产业和行业代表性的规定,有资格代表我国三元乙丙橡胶产业提出申请。侦查机关认为,申请人的主张及提交的表面证据符合立案条件。看法。根据《中华人民共和国反倾销条例》第四十八条的规定,商务部决定自2025年12月20日起对原产于美国、韩国和欧盟的进口三元乙丙橡胶所适用的反倾销措施进行期终复审调查。相关事项现已作为反倾销实施。根据商务部的建议,国务院关税税则委员会决定,在反倾销措施期终复审调查期间,继续按照商务部2025年12月20日第60号公告公布的进口三元乙丙橡胶所适用的反倾销措施,对原产于美国、韩国和欧盟的进口三元乙丙橡胶征收反倾销税。原产于英国的将过期。时间对各公司征收的反倾销税税率如下: 美国公司。 1. 陶氏化学公司 222.0% (陶氏化学公司) 2. 埃克森美孚公司 214.9% (埃克森美孚公司) 3. ARLANXEO USA Co., Ltd. 219.8% (ARLANXEO. Ltd. Co., Ltd. 219.8% (Lion Copolymer Geismar, LLC) 5. 其他美国公司 222.0% 韩国公司 1. KUMHO POLYCHEM Co., Ltd. 12.5% (KUMHO POLYCHEM Co., Ltd.) 2. Lotte Versalis Elastomers Co., Ltd. 21.1% (Lotte Versalis% 其他 Elastomers Co., Ltd. 欧盟企业 1. ARLANXEO Dutch B.V. 2. ExxonMobil Chemical France Société par Actions Simplifiée 16.5%四、本次复审欧盟31条的另一调查期为2024年7月1日至2025年6月30日,产业损害调查期为2021年1月1日至2025年6月30日。 三、对被调查产品范围的复审被调查产品范围为原反倾销措施适用的产品,与提案一致。l 对部产品进行反倾销。 2020年第60号商务公告,具体如下: 被调查产品名称:三元乙丙橡胶。英文名称:Ethryl-Proprene-non-conjugate Diene Rubber 或 Ethryl Proprene Diene Monomer (EPDM) 化学结构式: 物理化学性能:EPDM 橡胶是乙烯、丙烯和非共轭二烯的三元共聚物。室温下为白色或微黄色固体,易于混合。三元乙丙橡胶的物理性能、化学性能和加工性能主要因聚合物的分子结构而异。与分子结构相关的因素包括第三单体的类型、门尼粘度、增量油含量等多种因素。三元乙丙橡胶具有良好的耐老化、耐化学药品、耐低温和介电性能。主要用途:三元乙丙橡胶用途广泛,可用于建筑、电线电缆、汽车工业、输变电港口等领域。在建筑中,主要用于单层屋面防护、水盘管等;电线电缆方面,主要应用于民用及商用建筑电源输入线、工程机械电缆、矿用电缆、核电站电缆、汽车点火线、控制及信号电缆等;在汽车工业中,主要用于轿车、卡车和客车的非轮部件,包括汽车水箱和耐热软管、密封条、橡胶带、车身和底盘部件、挡风雨条、底板和环管;在交通运输中,主要用于汽车门窗密封条、减震、止水带等。该产品适用《中华人民共和国进出口税则》:40027010和40027090。 四、审查内容 本次调查审查的内容是:欧盟是否针对韩国进口EMPD和韩国橡胶进口。我如果倾销和损坏可能继续或再次发生,则终止。五、已登记参加调查的利害关系方可自本公告发布之日起20日内,向商务部贸易救济调查局登记参加反倾销期终复审调查。参加调查的利害关系方必须按照《登记参加调查的参考格式》提供基本身份信息、向中国出口或进口被调查产品的数量和数量、生产和销售的同类产品的数量和数量等相关信息。 《登记参加调查参考格式》可在商务部网站贸易救济调查局子网站下载。登记参加本次反倾销调查的利害关系方须提交电子登记表通过“贸易救济调查信息平台”(https://etrb.mofcom.gov.cn)提交onic版本,同时按照商务部要求提交书面版本。电子版与书面版内容必须相同,格式必须一致。本公告所称利害关系方,是指《中华人民共和国反倾销条例》第十九条规定的个人和组织。六、利害关系方可通过商务部网站贸易救济调查局子网站下载或到商务部贸易救济公开信息查询室(电话:0086-108-678)查询、阅读、抄写、复制本案申请人提交的申请书的非保密文本。调查过程中,利害关系方可以通过相关网站查阅案件公开信息,或者到商务部贸易救济公开信息审查室查询、阅览、抄录、复印公开案件信息。七、立案评论利害关系方对本次调查的产品范围、申请人资格、被调查国家(地区)及其他相关问题如需发表评论,可自本公告发布之日起20日内向商务部贸易救济调查局提交书面意见。八、调查方法 根据《中华人民共和国反倾销条例》第二十条的规定,商务部可以采取问卷、抽样、听证会、现场检查等方式向有关利害关系方了解情况并进行调查。为了获取本案调查所需的信息,商务部经常在10天内向利害关系方进行分步问卷调查。自本公告规定的参加调查报名截止日起的工作日内。利害关系方可从商务部网站贸易救济调查局子网站下载调查问卷。利益相关者必须在规定时间内提交完整、准确的答案。答卷应包含调查问卷所需的所有信息。九、信息提交与处理利害关系方在调查过程中提交意见、答卷等时,必须通过“贸易救济调查信息平台”(https://etrb.mofcom.gov.cn)提交电子版本,并按照商务部的要求同时提交书面版本。电子内容版本与书面版本应相同且格式一致。如果利害关系方向商务部提交的信息需要保密的,可以要求商务部对相关信息予以保密并说明理由。如果商务部同意其请求,申请保密的利害关系方还必须提供保密信息的非保密摘要。非保密摘要必须包含足够的有意义的信息,以使其他利害关系方能够合理地理解保密信息。如果无法提供非保密摘要,必须说明原因。利害关系方提交的信息未注明需要保密的,商务部将视该信息为公开信息。十、不配合的后果 根据《中华人民共和国反倾销条例》第二十一条,商务部进行调查时,利害关系方必须如实报告情况,并提供支持。视频相关信息。利害关系方未报告情况、提供有关情况,或者未在合理时间内提供必要信息,或者有其他严重妨碍调查的情况的,商务部可以根据已掌握的事实和现有的最佳信息作出决定。十一、调查期限本次调查自2025年12月20日开始,至2026年12月20日(不含当日)结束。